Our latest article on scenario decomposition tools was published in September 2022
Our latest article on scenario decomposition tools came out in Environmental Modeling and Software in September 2022:
Koomey, Jonathan, Zachary Schmidt, Karl Hausker, and Dan Lashof. 2022. “Exploring the black box: Applying macro decomposition tools for scenario comparisons.” Environmental Modeling and Software. vol. 155, September. [https://doi.org/10.1016/j.envsoft.2022.105426]
This article is a follow on to our 2019 article in the same journal:
Koomey, Jonathan, Zachary Schmidt, Holmes Hummel, and John Weyant. 2019. “Inside the Black Box: Understanding Key Drivers of Global Emission Scenarios.” Environmental Modeling and Software. vol. 111, no. 1. January. pp. 268-281. [https://www.sciencedirect.com/science/article/pii/S1364815218300793]
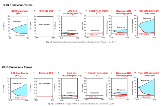
The 2022 article applies the tools developed in the 2019 article to two aggressive emissions reduction scenarios, illustrating the kinds of insights available from using these tools. We apply a Logarithmic Mean Divisia Index (LMDI) decomposition to analyze emissions reductions from the energy sector and additional tools to assess emissions reductions from other sectors.
These are the two articles containing the scenarios we compared:
Grübler, Arnulf, Charlie Wilson, Nuno Bento, Benigna Boza-Kiss, Volker Krey, David L. McCollum, Narasimha D. Rao, Keywan Riahi, Joeri Rogelj, Simon De Stercke, Jonathan Cullen, Stefan Frank, Oliver Fricko, Fei Guo, Matt Gidden, Petr Havlík, Daniel Huppmann, Gregor Kiesewetter, Peter Rafaj, Wolfgang Schoepp, and Hugo Valin. 2018. “A low energy demand scenario for meeting the 1.5 °C target and sustainable development goals without negative emission technologies.” Nature Energy. vol. 3, no. 6. 2018/06/01. pp. 515-527. [https://doi.org/10.1038/s41560-018-0172-6]
van Vuuren, Detlef P., Elke Stehfest, David E. H. J. Gernaat, Maarten van den Berg, David L. Bijl, Harmen Sytze de Boer, Vassilis Daioglou, Jonathan C. Doelman, Oreane Y. Edelenbosch, Mathijs Harmsen, Andries F. Hof, and Mariësse A. E. van Sluisveld. 2018. “Alternative pathways to the 1.5 °C target reduce the need for negative emission technologies.” Nature Climate Change. 2018/04/13. [https://doi.org/10.1038/s41558-018-0119-8]
Here’s one example of our dashboards, comparing results for two scenarios:

Email me for a copy if you don’t have access.
